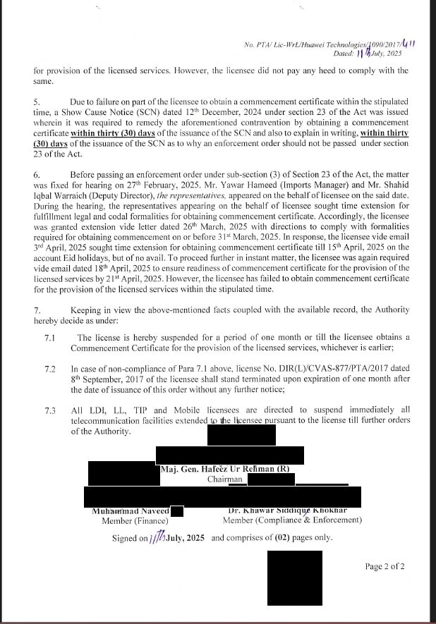
Following the issuance of an enforcement order by the Pakistan Telecommunication Authority (PTA) after its recent board meeting, news surfaced that Huawei Technologies Pakistan’s license had been suspended. The license, originally granted in 2017, was related to vehicle tracking services under a Data CVAS License.
TechJuice initially reported this development based on the official PTA documents and enforcement notice issued on July 11, 2025, which referenced Huawei’s non-commencement of services under the license.
However, PTA later issued a clarification, and Huawei directly responded to TechJuice’s request for a formal comment, bringing much-needed clarity to the matter.
Huawei Responds: No Suspension of Business Operations
When approached for comment, Huawei Technologies Pakistan clarified that the suspended license was not tied to its commercial operations with telecom operators, nor did it affect any ongoing projects or deployments.
“Reference to the news published in TechJuice, it is to clarify that facilities with respect to the Data CVAS License, Vehicle Tracking Services, which are for internal use only, are the only ones being considered for suspension until approvals are completed.”
“The CVAS license is only for internal Huawei vehicle tracking services—not for Huawei Pakistan business with operators.”
Huawei further clarified that it does not operate in Pakistan under a licensing contract for commercial telecom services, and there has been no suspension of any sort affecting its public operations.
PTA Clarifies: Only Internal Fleet Tracking License Suspended
Following the coverage and public discussion, PTA issued a corrigendum and a public clarification, stating:
“Huawei Technologies (Private) Limited was granted Data CVAS License No. DIR(L)/CVAS-877-PTA/2017 for tracking its vehicle fleet in Pakistan. The company, however, did not commence the intended operations, and the license was accordingly suspended solely due to non-commencement of services.”
The authority stressed that:
“This suspension applies exclusively to the aforementioned license for vehicle tracking services and has no impact on any other operations provided by Huawei Technologies (Private) Limited to telecom operators in Pakistan. All other operational engagements remain unaffected and continue as usual.”
While the suspension of Huawei’s Data CVAS License did occur, it involved only an unused internal-use license for fleet tracking, not commercial services. Both Huawei and PTA have since confirmed that Huawei’s core operations in Pakistan are fully active and ongoing.
